撰稿:王譯瑤
〔摘要〕隨著我國老齡化進程不斷加快,養老居住問題成為學界關注的熱點。盡管國外養老社區已發展的相對成熟,但國內仍處在初期探索的階段,這是由于經濟發展和社會需求不平衡,傳統觀念和現實情況不協調等多個原因造成的。通過實地的調研分析,發現了中國老年社區現存的一些問題,提出應根據本國政策及老年人各方面實際狀況和不同地區的發展進度,建設“中國化”的養老社區。
〔關鍵詞〕養老模式;中國養老社區;CCRC
一、研究背景
老齡化社會(aging society)是指60歲及以上人口達到總人口的10%,或65歲及以上人口達到總人口的7%時,該地區即可視為進入老齡化社會。在最近一次2013年的年度數據中[ ],老年人口所占比例為9.67%。說明我國早已進入了不可逆轉的老齡社會[ ],人口的老齡化將成為一種常態。
一方面,社會人口老齡化是人們生活水平提高、社會醫療水平進步的體現。另一方面,人口眾多,經濟發展不平衡,社會保障體系不健全等因素導致我國還不能妥善處理社會老齡化帶來的棘手問題,被一些專家學者稱為“未富先老”。“未富先老”帶來的弊端首先是養老問題。近日,中國青年報的一項網絡調查顯示,受訪的2200人中有72%的人表達了對養老問題的擔憂。
二、我國現存的三種養老模式
我國養老模式已從傳統的家庭養老發展成為以居家養老為主,社區養老與機構養老并行的多重模式。《老年人建筑設計規范》中將老年人根據健康狀況劃分為三種類型,1自理老人:生活行為完全自理,不依賴他人幫助的老年人。2介助老人:生活行為依賴扶手、拐杖、輪椅和升降設施幫助的老年人。3介護老人:生活行為依賴他人護理的老年人。三個階段實際上是每一位老人都需經歷的一個整體,我國老年人對養老設施的選擇是在社會制度、個人養老需求、經濟情況和心理因素等多個要素下綜合考慮的結果(圖1)。

圖1 各階段中的主導因素及對養老模式選擇的影響[ ]
三、國外社區養老理念的滲入
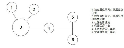
老年人安居的問題在20世紀中期一經提起就迅速引起了各國的關注,著名的建筑理論家劉易斯.芒福德在1956年發表的文章《為了老年人——融合而非隔離》,掀起了人們對養老居住模式的探討與思考。同年,埃里.鮑格格倫在瑞典皇家老年問題委員會的報告中第一次提出了“原居養老”(aging in place)的概念,強調老年人的身心發展,體現文化與地域的延續,使老年人在熟悉的環境中老去,產生了深遠的影響[ ]。在美國,根據“原居養老”發展而來的持續照顧社區(CCRC社區)獲得了相對的成功,即在一個綜合居住社區中,滿足老人三個階段不同的需求,在照顧的同時,維護老人的尊嚴與自主權,使其在熟悉的環境中走完剩下的人生旅程。截止2012年,全美共有1900處CCRC社區[ ],更由此發展成為綜合型老年社區空間組織模式,對其他國家的社區實踐產生深遠影響(圖2)。

圖2 美國老年社區設施構成[ ]
四、對比視角下的金東方頤養園調研分析
金東方頤養園位于常州市武進區濱湖南路99號,緊鄰西太湖(圖3),是武進區民政局批準的高端民辦養老機構。頤養園采用“CCRC3+1”模式,即健康服務體系、介助保障體系、醫療照護體系加社區公共服務體系[ ],滿足自理、介助、介護老人的不同需求。項目占地17.6萬平方米,規劃總建筑面積32萬平方米。配置了醫院、

圖3 項目區位示意圖[ ]
會所、健身房等近7萬平方米的公建配套設施。服務人群為全齡化老年人,主要消費群體是本人或子女為中、高收入人群。經營形式采用會員制,不出售房屋產權,分為金卡、銀卡、愛心卡等三種會員收費形式。
實地對金東方的整體環境、公建設施配套和居住樣板間進行了調研。項目遠離市區,地處較偏僻,缺少可以利用的生活設施 。因此頤養院內配套設施較為完善,基本滿足老年人對生活、娛樂、健身、醫療等需求,調研時可看到老人在進行乒乓球、桌球等娛樂活動(圖1-4)。園內景觀環境優美,形成一個適宜老年人安度晚年的“微城市”(圖4、圖5)。

圖4 園內老年人在進行娛樂活動
圖5 園內風光
老人居室戶型有一居室、兩居室與三居室三種,參觀樣板間可看到在房屋細節上進行了一定的適老化設計,如緊急呼叫系統,衛生間的無障礙設計等。同時,在整體設計上采用去老化理念,避免太多的適老化設計,以免引起老年人心理上的不適感(圖6)。

圖6 老人居室樣板間
可以說金東方頤養園在軟硬件方面都達到了國內較高水平,但園內的生活氛圍不濃,入住老人不多。過多配套設施流于表面,太形式化,例如棋牌室,就是一間房間內布置幾張桌椅,沒有從國內老年人自身喜好考慮,當然形成不了傳統小區內大樹下老年人圍聚打牌下棋的熱烈氛圍。再者,相對封閉的頤養園將老人與子女明確分隔開來,家庭的概念被弱化,與其稱之為“微城市”,不如叫“老人城”更貼切些。
縱觀國內其他城市在養老社區的實踐方面,在北京、上海等經濟發達地區也建造了一批比較有影響力的綜合老年社區(表1):
|
項目 |
北京太陽城 |
東方太陽城 |
上海“親和源”老年公寓 |
“金色年華”老年公寓 |
臺灣長庚養生文化村 |
|
所在城市 |
北京 |
北京 |
上海 |
杭州 |
臺灣 |
|
基地位置 |
京城北郊昌平區小湯山鎮 |
順義區順義潮白河畔 |
浦東新區康橋鎮 |
杭州西南轉塘鎮 |
臺灣桃園龜山鄉 |
|
占地面積 |
630畝 |
3500畝 |
126畝 |
255畝 |
515畝 |
|
經營模式 |
租住、持有相結合 70年大產權房均價2萬元/平米 |
產權出售:均價2萬元/平米 |
會員制:分為永久、終身和50年產權3類卡種 均價:2萬元/平米 |
租住、持有相結合 短期租住均價3500/月 均價1.5萬元/平米 |
租住形式 低保證金、高管理費,收費相對平價 |
|
建筑規模 |
總建筑面積30萬平方米,公建設施7萬平方米 |
1000畝集體用地,建設高爾夫球場,總建筑面積70萬平方米,分三期建造,公建設施5萬平方米 |
總建筑面積10萬平方米,公建設施3萬平方米 |
總建筑面積17萬平方米,公建設施2萬平方米 |
全村4000戶 |
|
配套設施 |
北京太陽城醫院、假日酒店、購物中心、文化宮等 |
商業零售、社區活動中心、醫院、康體中心等 |
老年大學、老年醫院及護理院、會所、配餐中心等 |
老年活動中心、餐飲中心、醫療中心等 |
醫院、護理院、健康俱樂部、體育館等 |
|
特點 |
將傳統家庭養老和社會養老結合,國家首批綜合型養老社區 |
將傳統家庭養老和社會養老結合,國家首批綜合型養老社區 |
國家首批綜合型養老社區,配套公建比例較高 |
社區養老帶有度假養生附屬功能 |
全村均無障礙環境設計 以醫療機構為主導的社區開發模式,帶有度假性質 |
將金東方頤養園與上表所列養老社區進行綜合比對,可發現國內“CCRC模式”下養老社區的幾大共性——遠離市區、規模較大、配套齊全、客戶群體中高端。
可以說,我國養老社區較之養老院等傳統養老機構在改善老年人居住環境方面有很大的進步,給國內養老產業帶來了一股新鮮氣息。但因模式限定,因此存在一些“通病”:1.選址方面:多建于發達地區,受土地、經濟、管理等因素的制約,老年社區大多遠離城市市區,將老年人從社會中被動的孤立出去。2.建設方面,內部養老配套設施配比不盡合理,沒有形成統一的體系。3.經濟方面,雖然有政府和社會方面的介入,價格一般低于市場均價,但仍高于老年人承受范圍。我國最大的養老人群在三四線城市及鄉鎮,此種模式無法適用。
五、結語
通過對相關資料與實地調研分析,我們可以發現,促使我國不能照搬西方老年社區成功模式的最主要原因是國家經濟實力的差距和東西方價值觀與生活理念的差異:西方發達國家經濟實力雄厚,養老居住的資金支持主要來自社會福利機構,美國持續護理老年社區中80%以上為非盈利性組織,而我國養老社區絕大部分為開發商開發建造。另一方面,西方老年人不依靠子女生活,他們喜歡獨立、享受自由,因此獨立大型的老年社區很快流行起來。而東方老年人家庭觀念深入人心,他們害怕孤獨,所以“家庭養老”模式雖然遭到一定的沖擊,但仍是我國現階段的主要養老模式。
綜上所述,我國養老社區設計應根據國情,做出相應的改進。綜合探究設計中的影響因素,平衡政府、投資者與受眾人群各方面的期許,使具有地域特點的養老社區目標定位精準化、功能合理化,真正做到物盡其用,生硬搬套“CCRC模式”在各地區發展不平衡、經濟條件、人口特征和文化背景也存在一定的差異的中國是無法一蹴而就解決養老問題的。
參考文獻:
1. 原新. 中國如何應對人口老齡化挑戰[J]. 國家治理, 2014, (21):13-18.
2. 李光遠. 老年住區開發與設計探究[D]. 西安建筑科技大學, 2013.
3. 穆光宗. 美國社區養老模式借鑒[J]. 人民論壇, 2012, (22):52-53.
4. 胡仁祿,馬光. 老年居住環境設計[M]. 南京:東南大學出版社,1995.
5. 金健勇.創新模式,突破“中國式養老”難題——金東方CCRC3+1養老模式探索[J].江蘇經貿職業技術學院學報,2013,(04):37-40.
[作者簡介]:王譯瑤,女,碩士學位,現在江蘇省城市規劃設計研究院從事設計工作。

Copyright @2019-2024 版權所有:江蘇省勘察設計行業協會 未經許可不得轉載使用 蘇ICP備19054517號
地址:南京市江東北路銀城廣場輔樓2樓 電話:025-51868131 郵箱:[email?protected]?
